Student Spotlight
Yazan Chihabi, PhD Candidate
Yazan Chihabi is a PhD student under the supervision of Prof. Steve Ulrich.
Research Focus: Autonomous GNC of Spacecraft Rendezvous and Formation Flying on Perturbed Highly Elliptical Orbits
Yazan Chihabi recently defended his PhD in Aerospace Engineering, where his research explored the cutting edge of spacecraft autonomy—specifically, the development of advanced Guidance, Navigation, and Control (GNC) systems for rendezvous and formation flying missions on perturbed highly elliptical orbits. His work tackles critical challenges in satellite cooperation and autonomous decision-making for future space missions.
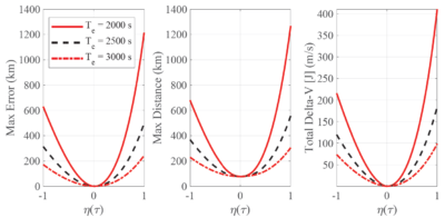
At the core of his dissertation is a suite of robust and efficient algorithms capable of guiding spacecraft through complex manoeuvres while adapting to environmental disturbances such as Earth’s non-spherical gravity field, third-body effects, atmospheric drag, and solar radiation pressure. By integrating these perturbative dynamics into the GNC loop, Yazan’s work achieves fuel-efficient trajectory planning and precise formation control—essential for sustainable and responsive multi-spacecraft operations.

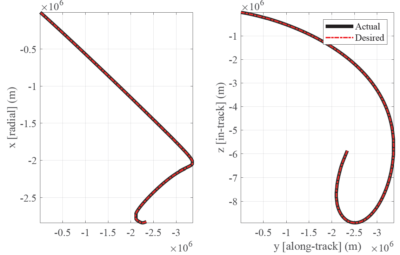
Figure 1: Rendezvous scenario with newly developed GNC
His research also addresses the increasingly important domain of relative navigation using angle-only line-of-sight measurements. With a focus on adaptivity and resilience, he developed navigation techniques that enable chaser spacecraft to reliably estimate relative position even in the presence of noise and sensor ambiguity. Additionally, Yazan explored evasive maneuver strategies in spacecraft pursuer-evader scenarios, designing algorithms that allow an evader to deliberately confuse a pursuer’s navigation system—opening up new applications in spacecraft autonomy and defense.

Figure 2: Monte Carlo simulations for evasive manoeuvres under angle-only navigation
To validate his algorithms in a terrestrial setting, Yazan developed a Hardware-in-the-Loop (HIL) test-bed at Carleton’s Spacecraft Robotics and Control Laboratory. This experimental platform replicates the dynamics of spacecraft interaction and serves as a proving ground for GNC strategies before they are deployed in real-world systems. His efforts in modeling, simulation, and validation have enabled tangible contributions to both academic research and industry development.

A highlight of Yazan’s research career was his contribution to an on-orbit flight experiment onboard the International Space Station (ISS). He played a key role in preparing autonomous guidance and tracking algorithms that were deployed as part of a multi-agency demonstration of real-time navigation and control technologies in space. This flight experiment offered a rare opportunity to validate his work under actual orbital conditions, bridging the gap between simulation and flight heritage. The success of the mission further demonstrated the applicability of his methods in complex and uncertain space environments.
Zachary Milani, PhD Candidate
Zachary Milani is a PhD student under the supervision of Dr. Edgar Matida . Please find a summary of their research below.
In-Flight lightning detection and measurement of thunderstorm microphysics
Lightning is typically produced by the combination of strong wind shear, convective updrafts, heavy precipitation, and the formation of snow and ice particles which (in addition to direct lightning strikes) can seriously threaten the safety of air travel. Observing a lightning flash over a storm cell indicates to a pilot that dangerous weather is present, and the area should be avoided. With the frequency and severity of extreme weather expected to rise along with global temperatures and humidity, and the arrival of unconventional hybrid and electric aircraft which may be less resilient to a direct lightning strike than conventional aircraft, it is increasingly important to provide pilots with reliable, real-time weather monitoring tools. At best, weather updates are broadcast from weather services every 2.5 to 5 mins, but it’s not uncommon for an intermittent connection to create service stability issues for aircraft. Therefore, an aircraft-mounted lightning mapper might be the most practical source of real-time lightning information for pilots. Part of this work investigates the in-flight performance of an aircraft-mounted lightning detector through comparisons to satellite instruments and ground detection networks. Additionally, this work investigates the link between cloud electrification and cloud microphysics through in-situ measurements of clouds using the National Research Council of Canada’s Convair-580 research aircraft.



Nicholas Dorion, MASc Candidate
Nicholas Dorion is a MASc student under the supervision of Dr. Edgar Matida and Dr. Hamza Abo el Ella. Please find a summary of their research project below.
With recent advances in computing power and technology, numerical methods have come to the forefront in the aerospace industry to reduce the time and cost of both the design process and certification process. One such certification process aircraft probes must go through is certification for flight though know icing conditions. Numerical methods have been studied heavily in recent years attempting to simulate in-flight icing conditions, with this research project merging icing simulations with experimental results in a collaboration with Thales Group and the National Research Council.
Thales has designed the next generation of aircraft Pitot probes, a critical air data probe that measures the airspeed of an aircraft. A Pitot probe will be tested at the National Research Council’s test facility, the Altitude Icing Wind Tunnel, to test the limits of the anti-icing system within the probe. Numerical simulations will be conducted in parallel to the wind tunnel testing to obtain a one-to-one comparison of simulated results and experimental results. Should the simulation results be able to capture the thermal performance of the probe and ice accretion observed in the wind tunnel, this research could be a stepping stone for industry towards Certification by Analysis (CbA), where probes could be certified for flight using simulation tools, rather than traditional wind tunnel and flight tests which are time consuming and costly. Preliminary tests using airfoils and Pitot probe models have yielded promising results with the simulation tool, ANSYS FENSAP-ICE, able to create the complex ice shapes which form on aircraft wings and probes.

Mohammad Rahman, Postdoctoral Fellow
Mohammad Rahman is a Postdoctoral Fellow under the supervision of Dr. Edgar Matida and Dr. Tarik Kaya. Please find the highlights of their ongoing research projects below.
1. Air quality assessment at a long-term care facility (LTCF) in Ottawa
Indoor air quality at a long-term care facility (LTCF), Perley Health in Ottawa is examined. Air quality is quantified in terms of number of particulate matters, amount of various gas concentrations, and accumulation of different allergens. The experimental results are supplemented by computational fluid dynamics (CFD) analysis of air flow, heat transfer, and ventilation in different rooms at the LTCF.

2. E-cigarette’s aerosolization, and its implications in human health
Some latest e-cigarettes are tested to examine their aerosol generating conditions, and generalize its implications in a broader context of human health effect. Particle size distribution (PSD) of e-cigarettes is measured using different techniques, including cascade impactor (In-Tox 02-007), time-of-flight particle counter (PSD 3603, TSI), and phase Doppler anemometer (PDA). PSD and associated particle velocities affect aerosol deposition in different regions of human respiratory tracts.

3. Pool boiling heat transfer characteristics of propylene glycol (PG) and glycerol (Gl) mixtures
A systematic pool boiling heat transfer of different PG/Gl mixtures is investigated. This can be utilized in diverse practical and industrial applications that require efficient heat transfer performance. For instance, PG-based solution is used as a cost-effective heat transfer medium in heating, ventilation, and air conditioning (HVAC) systems, corrosion controls, and various industrial processes, e.g., food, pharmaceutical and cosmetics processing.
