Employee Permit Rates
2025-2026 Annual Parking Permit Rates
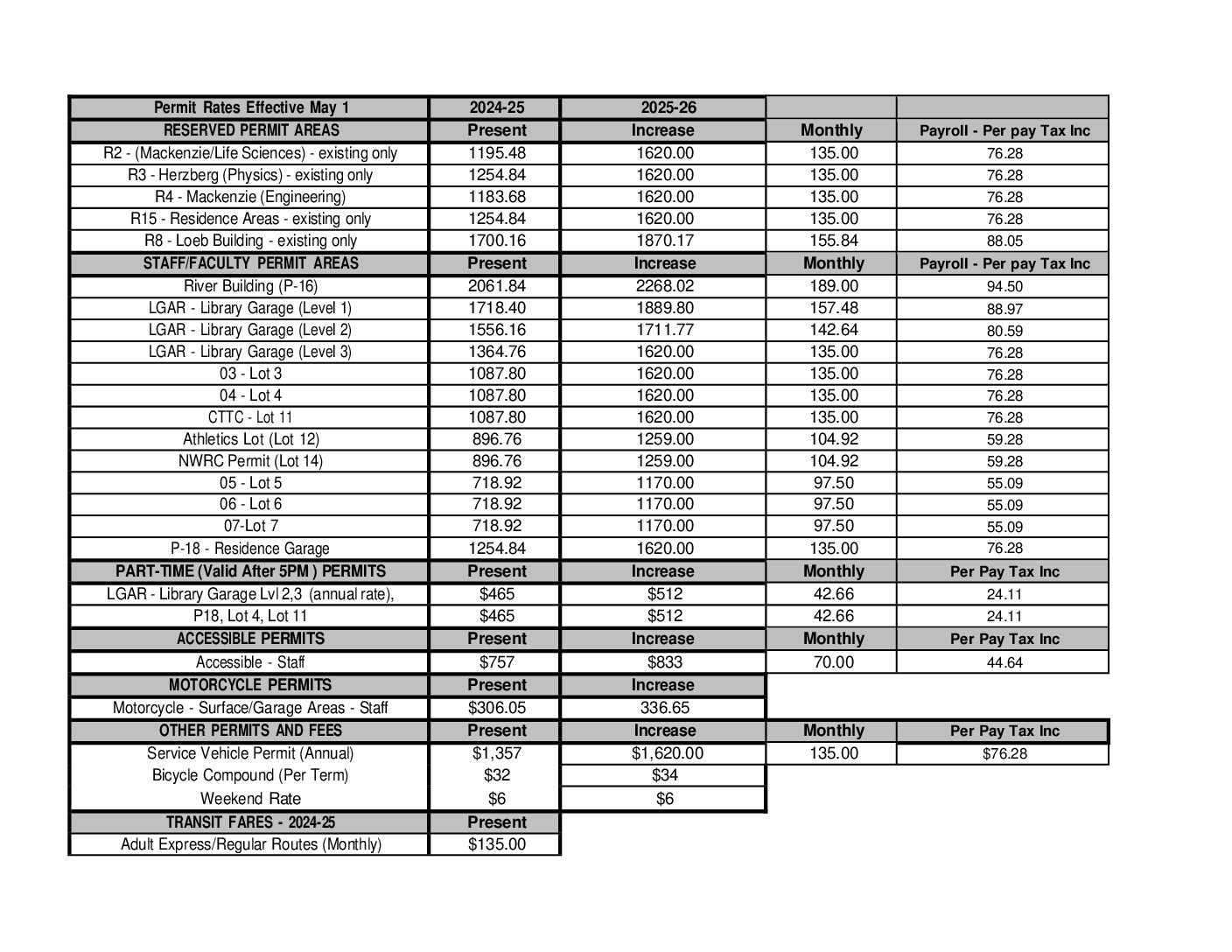
Please find below the parking rates for 2025-2026 which are effective as of May 1, 2025. Increases to parking rates are determined following a review of infrastructure costs, as well as industry parking rate standards.
Prices stated below do not include HST.
All annual permits are valid from May 1 – April 30 of each calendar year
Carleton University Parking Rates 2025-2026 (Excluding HST)
